DOI 10.35381/cm.v11i20.1542

 

Cuidados de enfermería en terapia de reemplazo renal intermitente en pacientes críticos con enfermedad renal

 

Nursing care in intermittent renal replacement therapy in critically ill patients with kidney disease

 

 

Jhoseline Fernanda Gavilema-Lema

jhosfer1@hotmail.com

Universidad Iberoamericana del Ecuador, Quito, Pichincha

Ecuador

https://orcid.org/0009-0005-8119-9430

 

Elsa Viviana Cáceres-Taya

vivi9322caceres@hotmail.com

Universidad Iberoamericana del Ecuador, Quito, Pichincha

Ecuador

https://orcid.org/0009-0006-2282-9655

 

Paolina Antonieta Figuera-Ávila

pfiguera@unibe.edu.ec

Universidad Iberoamericana del Ecuador, Quito, Pichincha

Ecuador

https://orcid.org/0000-0002-7270-4408

 

 

 

 

Recepción: 10 de septiembre 2024

Revisado: 15 de octubre 2024

Aprobación: 18 de diciembre 2024

Publicado: 01 de enero 2025

 

 

 


 

RESUMEN

La enfermedad renal, tanto aguda como crónica, compromete gravemente la función de los riñones, provocando acumulación de desechos y complicaciones. El objetivo de la investigación es analizar los cuidados de enfermería en la terapia de reemplazo renal intermitente en pacientes críticos con enfermedad renal. En la revisión sistemática, se identificaron 495 documentos en bases de datos como PubMed, SciELO y Dialnet. Se aplicaron criterios de inclusión y exclusión respetando la autoría en los artículos seleccionados. Se seleccionó una muestra final de 27 artículos siguiendo los lineamientos PRISMA. No se mostró evidencia concluyente sobre la superioridad de la terapia intermitente frente a otras modalidades. Las complicaciones más frecuentes incluyen hipotensión y crisis hipertensiva, subrayando la importancia del monitoreo constante y la capacitación continua del personal de enfermería para garantizar la seguridad del paciente.

 

Descriptores: Enfermería; enfermedad renal; paciente crítico; terapia de reemplazo renal intermitente. (Tesauro Unesco).

 

 

 

ABSTRACT

Renal disease, both acute and chronic, severely compromises kidney function, causing waste accumulation and complications. The aim of the research is to analyze nursing care in intermittent renal replacement therapy in critically ill patients with renal disease. In the systematic review, 495 documents were identified in databases such as PubMed, SciELO and Dialnet. Inclusion and exclusion criteria were applied respecting authorship in the selected articles. A final sample of 27 articles was selected following PRISMA guidelines. No conclusive evidence was shown on the superiority of intermittent therapy over other modalities. The most frequent complications included hypotension and hypertensive crisis, highlighting the importance of constant monitoring and continuous training of nursing staff to ensure patient safety.

 

Descriptors: Nursing; kidney disease; critically ill patient; intermittent renal replacement therapy. (Unesco Thesaurus).

 

 

 

 


INTRODUCCIÓN

La enfermedad renal es una patología que afecta el funcionamiento adecuado de los riñones, limitándolos en sus funciones de excreción, regulación y eliminación de desechos. Este daño renal se clasifica en dos categorías según su tiempo de evolución: aguda y crónica. Independientemente del tipo de enfermedad renal, el tratamiento de elección son las terapias de reemplazo renal, las cuales requieren cuidados de enfermería especializados basados en evidencia científica (Batista et al., 2024). El deterioro en la capacidad de los riñones para filtrar los desechos provoca su acumulación en el organismo, es lo que genera una intoxicación y pone en riesgo su equilibrio. Como resultado, el sistema de eliminación se ve sobrecargado, lo que puede derivar en graves complicaciones.

En este contexto, la enfermedad renal aguda se define como el deterioro repentino de la función excretora de los riñones, evidenciado por un incremento en los niveles de creatinina en sangre y/o una disminución o interrupción del flujo de orina en un periodo menor a 7 días (Fuentes, 2024). Esta condición puede afectar drásticamente la vida de los pacientes; en cuestión de días, una persona puede pasar de estar relativamente saludable a necesitar cuidados intensivos. En los hospitales, se lucha contra el tiempo para detectar y tratar esta condición, la observación cuidadosa de los cambios en la producción de orina y el estado general del paciente son cruciales.

Por otro lado, la enfermedad renal crónica se caracteriza por la presencia de una anomalía en la estructura o función de los riñones que persiste por más de tres meses, independientemente de si hay o no deterioro en la función renal con un filtrado glomerular inferior a 60 ml/min/1,73 m², sin que existan otros indicios de enfermedad renal (Sellares y Rodriguez, 2023). El impacto silencioso pero devastador de esta enfermedad, la sutileza de sus síntomas iniciales a menudo lleva a diagnósticos tardíos. En consecuencia, los pacientes, al enterarse de su condición, reestructuran completamente sus vidas. El desafío no es solo médico, sino también emocional y social, deben adaptarse a nuevas dietas, rutinas de medicación y a la realidad de la diálisis, lo que resalta la necesidad de un enfoque integral en su cuidado.

A nivel mundial, la enfermedad renal se encuentra entre las principales causas de mortalidad en todo el mundo, ocupando el sexto lugar en el ranking de causas de muerte y mostrando un crecimiento rápido. No obstante, la realidad que se vive en Latinoamérica es mucho más compleja. La enfermedad renal ha alcanzado un aumento significativo de casos en la última década, con una estrecha relación con patologías como la diabetes e hipertensión, que son factores de riesgo predominantes para el desarrollo de enfermedad renal en América Latina. Sin embargo, no contar con un criterio de diagnósticos y su clasificación estandarizados entre países, implica no obtener datos específicos como región (Rosas Valdez et al, 2024).

En Ecuador los datos de la Sociedad Ecuatoriana de Nefrología, hasta el año 2017, registra 13,000 pacientes que recibían terapia renal sustitutiva de los cuales alrededor de 12,000 estaban en hemodiálisis. Además de esta situación, existen varios problemas que pueden llevar a la enfermedad renal, como las enfermedades autoinmunes, entre ellas el lupus y ciertas nefropatías, las enfermedades genéticas como la enfermedad renal poliquística, y las infecciones recurrentes de las vías urinarias (Acebo et al., 2022). Teniendo en cuenta lo anterior, es evidente el incremento de pacientes que requieren de terapias de reemplazo renal en los últimos años en donde el papel de enfermería juega un rol importante junto con el avance tecnológico, y realizar cuidados de enfermería adaptados a la necesidad de cada paciente.

Entre las estrategias de tratamiento para el paciente con enfermedad renal son las terapias de reemplazo renal intermitentes. Estas intervenciones son seguras y eficaces en pacientes críticamente enfermos con inestabilidad hemodinámica. Estas terapias son esenciales para la supervivencia de pacientes críticos, ya que permiten la eliminación de toxinas y el mantenimiento del equilibrio hidroelectrolítico (Martínez, 2020). Se destaca como una herramienta valiosa por su versatilidad en las unidades de cuidados intensivos. Bajo estas circunstancias, el profesional de enfermería juega su papel en la monitorización constante de los signos vitales, el ajuste de los parámetros en la máquina de acuerdo con el estado clínico del paciente y la educación sobre el procedimiento. Además, la detección temprana de complicaciones y la implementación de medidas preventivas son fundamentales para garantizar seguridad y bienestar durante el tratamiento, y así obtener los resultados terapéuticos deseados.

La relevancia de este estudio es múltiple para la profesión de enfermería, parte de la interrogante: ¿Cuáles son los cuidados de enfermería en terapia de reemplazo renal intermitente en pacientes críticos con enfermedad renal? La respuesta a esta interrogante podría beneficiar a los pacientes, familiares y personal de salud. Reconocer los cuidados de enfermería ayudaría a brindar una atención oportuna y eficaz que ayude a la vida del paciente y reducir las tasas de mortalidad. Desde el punto de vista científico, este estudio contribuye al conocimiento sobre las mejores prácticas en el manejo de terapia de reemplazo renal intermitente, abordando un problema crítico en el sistema de salud ecuatoriano.

La implementación de cuidados de enfermería protocolizados basadas en evidencia han demostrado ser crucial para mejorar los resultados en pacientes críticos. Por tanto, la enfermedad renal en pacientes críticos es una condición que requiere intervenciones precisas y bien coordinadas. La falta de cuidados de enfermería estandarizados puede llevar a variaciones en la calidad de la atención en las unidades de cuidados intensivos. Es por ello, que esta investigación tiene como objetivo describir los cuidados de enfermería en terapia de reemplazo renal intermitente en pacientes críticos con enfermedad renal.

 

METÓDO

El diseño de investigación utilizado en este artículo es de revisión sistemática que implica la revisión y síntesis de la literatura existente relacionada con los cuidados de enfermería en terapia de reemplazo renal intermitente en pacientes críticos con enfermedad renal. La población de estudio fue un total de 495 documentos obtenidos mediante la búsqueda exhaustiva en bases de datos como PubMed, Scielo y Dialnet con el apoyo del Google Académico. Se utilizaron términos de búsqueda como: cuidados de enfermería, paciente crítico, terapia de reemplazo renal intermitente, relacionadas con el uso de operadores booleanos “AND”, “OR” y “NOT”.

Para garantizar la calidad y transparencia del proceso, se adoptó la Extensión de Información Preferida para Revisiones Sistemáticas y Meta-análisis (PRISMA) como guía metodológica. Este marco metodológico proporcionó pautas rigurosas para la búsqueda bibliográfica, selección de fuentes, y evaluación de la calidad de los datos, asegurando así la integridad y validez del análisis (Barquero, 2022).

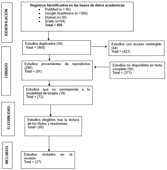
Para la selección de la muestra se establecieron criterios específicos de inclusión, que abarcaron estudios publicados en revistas científicas y médicas, en español, inglés y portugués, dentro de un periodo de 5 años (2020-2024), asegurando que los títulos contuvieran las palabras de búsqueda. Asimismo, se excluyeron estudios provenientes de repositorios, duplicados, aquellos no disponibles en texto completo o de acceso restringido, que no corresponda a la modalidad de terapia de reemplazo renal intermitente. Se culmina con una muestra de 27 artículos (Figura 1).

El análisis de los datos se basó en la identificación y agrupación de los principales temas: eficacia de la terapia de reemplazo renal, complicaciones y cuidados de enfermería. Para ello, se llevó a cabo una lectura de los artículos seleccionados, seguida de un proceso de sistematización, en el cual se identificaron las temáticas que dan origen a esta investigación. Posteriormente, se elaboró una matriz en Excel por objetivos de estudio que permitió identificar patrones comunes de la temática abordada.

Toda la información recopilada en elaboración de este artículo fue obtenida de fuentes bibliográficas debidamente citadas, respetando los derechos de cada autor de los trabajos originales.

 

 

Figura 1. Diagrama PRISMA.

Elaboración: Los autores.

 

RESULTADOS

De un total de 495 artículos, aplicando los criterios de exclusión, se eliminaron 30 estudios por ser duplicados, 44 por tener acceso restringido, 50 por no estar disponibles en texto completo, 280 provenientes de repositorios y 19 artículos no correspondían a la modalidad de terapia de reemplazo renal en estudio. En total se consideraron 45 estudios posterior a la lectura de los títulos y resúmenes; de los cuales se seleccionaron 27 estudios a texto completo para la presente investigación, que proporcionaron evidencia científica sólida y pertinente para los objetivos planteados en el presente artículo. En particular, se examinaron 6 artículos sobre la efectividad de la terapia en pacientes críticos, 11 artículos que describieron las complicaciones inherentes a esta terapia y 10 artículos que analizaron los cuidados de enfermería antes, durante y después del tratamiento para asegurar una atención integral.

 

Eficacia de la terapia de remplazo renal intermitente en paciente crítico con enfermedad renal.

La enfermedad renal es un desafío frecuente en la unidad de cuidados intensivos, la hemodiálisis intermitente ofrece una solución personalizada, eliminando rápidamente toxinas, a través de sesiones cortas y ajustándose a las necesidades específicas de cada paciente. En relación con la eficacia de la terapia de remplazo renal en una revisión sistemática realizada por Valdenebro et al. (2021) no sustentan la superioridad de las terapias de reemplazo renal intermitente en comparación con otras modalidades. Así mismo no encontraron estudios concluyentes que demuestren beneficios significativos en términos de supervivencia, reducción de la estancia hospitalaria o recuperación de la función renal en pacientes críticos tratados con esta terapia. Sin embargo, reconocen que la literatura al respecto es aún controvertida y que algunos estudios sugieren un posible beneficio de la terapia de reemplazo renal continua en pacientes postquirúrgicos hemodinámicamente inestables.   

La investigación realizada por Valdenebro et al. (2021) señala además que, las técnicas continuas de terapia de reemplazo renal ofrecen mejor tolerancia hemodinámica en pacientes críticos. Tanto las modalidades continuas como intermitentes muestran mortalidad similar y expectativas equivalentes en cuanto a la recuperación de la función renal. La elección entre una y otra debe basarse en la condición clínica específica del paciente y la disponibilidad de recursos. Si bien la hemodiálisis intermitente es más comúnmente utilizada, su empleo en la UCI ha sido limitado debido a complicaciones respiratorias y hemodinámicas. En este sentido, la hemofiltración arteriovenosa continua se presenta como una alternativa prometedora, ya que ha demostrado mejor tolerancia en pacientes inestables, más allá de la eficacia en la eliminación de toxinas.

La elección de la modalidad de terapia de reemplazo renal en pacientes críticos debe ser individualizada, considerando las condiciones clínicas específicas de cada paciente y los recursos disponibles. Las modalidades continuas como intermitentes presentan resultados similares en cuanto a mortalidad y recuperación renal, la evidencia sugiere que las técnicas continuas, como la hemofiltración arteriovenosa continua, ofrecen mejor tolerancia hemodinámica en pacientes inestables. Sin embargo, la hemofiltración arteriovenosa continua ha demostrado mayor eficacia en la eliminación de toxinas, convirtiéndola en una alternativa prometedora en ciertos escenarios clínicos (Huidobro et al., 2020).

Saunders et al. (2024) analizaron las diversas terapias de reemplazo renal empleadas en pacientes con lesión renal aguda severa (LRA), destacando la influencia del estado hemodinámico en la elección de la técnica. Aunque existen múltiples factores a considerar, como la indicación y la preferencia del clínico, un estudio epidemiológico multinacional reveló la preferencia por la terapia de reemplazo renal continua (75,2% de las sesiones), en comparación con la diálisis intermitente (24,1%) y la peritoneal (0,7%). Esta tendencia sugiere que la terapia continua podría estar asociada con mejores resultados en pacientes hemodinámicamente inestables.

Para mejorar la eficacia de las terapias de reemplazo renal, es necesario adoptar un enfoque multifactorial que considere los aspectos clínicos, los factores sociales y económicos. Japiong et al. (2023) reveló que el acceso y uso de la diálisis están influenciados por el sistema de salud, los proveedores de atención médica y los pacientes. Aunque la hemodiálisis es la modalidad más utilizada, factores como costos, infraestructura y capacitación del personal limitan la eficacia y equidad. Es fundamental abordar estos desafíos para garantizar un tratamiento óptimo y sostenible para los pacientes con enfermedad renal.

En un meta-análisis reciente, Ma et al. (2023) compararon la terapia de reemplazo renal continua (TRRC) con la hemodiálisis intermitente en pacientes críticos con insuficiencia renal. Ambas modalidades mostraron resultados similares en cuanto a recuperación renal y mortalidad a corto plazo, la TRRC se destacó por reducir significativamente la duración de la estancia en la unidad de cuidados intensivos y hospitalaria. Esta reducción implica un impacto positivo en los costos médicos, también ofrece beneficios a largo plazo para los pacientes, al disminuir la carga asistencial y mejora la calidad de vida.

 

Complicaciones inherentes a la terapia de remplazo renal intermitente en paciente crítico con enfermedad renal

De igual manera, se realizó una búsqueda para describir las complicaciones durante la terapia de reemplazo renal intermitente en pacientes con enfermedad renal. Según Ticona Quelca (2021) el 67% de los pacientes presentó hipotensión durante las sesiones de hemodiálisis, mientras que el 33% sufrió crisis hipertensivas. Adejumo et al. (2024) indica que la hipertensión también tiene una alta prevalencia. Cedeño et al. (2020) muestra, que la hipotensión es la complicación más frecuente y su manejo incluyó la colocación del paciente en posición de Trendelenburg y la reducción de la tasa de ultrafiltración. Nunes et al., 2021 reportó que el 46% de los incidentes durante la hemodiálisis estaban relacionados con el tratamiento, siendo la hipotensión la complicación más común (63,09%). Además, el 28,06% de los problemas se relacionaron con fallos tecnológicos, principalmente en el sistema de ósmosis inversa. El uso de catéteres presentó problemas en el 44,35% de los casos, debido a la incompatibilidad del acceso con el caudal prescrito.

En el estudio de Suárez et al. (2023), que analizó 413 sesiones de terapia de renal intermitente, se identificó que las incidencias más comunes fueron errores en la asignación de modalidad (33,2%), pautas desactualizadas (30,5%) y disfunción del acceso vascular (15,7%).

Por otro lado, Sango et al. (2023) mencionan que varios factores de riesgo, como la edad, la diabetes mellitus, la hipertensión, la hipoalbuminemia y la aterosclerosis, aumentan la probabilidad de desarrollar bacteriemia relacionada con el uso de catéteres. Silva et al. (2020) destacan que las infecciones son una complicación importante en los procedimientos de diálisis, afectando la morbilidad y mortalidad de los pacientes críticos. Se propone el aislamiento de los pacientes hospitalizados para prevenir la colonización por S. aureus, evitando el uso indiscriminado de antibióticos, y se sugiere cumplir con estrictas medidas de higiene y establecer protocolos para reducir la contaminación (Almeida et al., 2022).

En otra investigación, realizada con 76 pacientes sometidos a hemodiálisis intermitente, se observó que el 93,4% presentó complicaciones, siendo la hipotensión intradiálisis la más común (71,8%). La respuesta profesional más frecuente fue la administración de fármacos vasoactivos en el 100% de los casos. Entre los factores asociados significativamente con sepsis se mencionan la edad, ventilación mecánica y lesión renal aguda (dos Santos et al., 2022). Por último, el síndrome de desequilibrio dialítico es otra complicación poco frecuente en pacientes críticos que inician terapias de reemplazo renal intermitente (Benabdelouahab et al., 2024).

 

Cuidados de enfermería antes, durante y después de la terapia de remplazo renal intermitente en paciente crítico con enfermedad renal.

Los resultados destacan la importancia de los cuidados de enfermería antes, durante y después de la terapia de reemplazo renal intermitente en pacientes críticos, abordando los aspectos médicos, emocionales y sociales de la enfermedad renal crónica. Se identificó que un enfoque holístico es fundamental para garantizar un cuidado integral del paciente, ya que la complejidad de la condición requiere atención en diversas dimensiones. La formación continua y actualizada del personal de enfermería, especialmente en unidades de cuidados intensivos y hemodiálisis, se destacó como esencial para enfrentar los desafíos específicos de la ERC, permitiendo que los profesionales brinden un tratamiento cuidadoso y experto en cada etapa de la terapia (Ordóñez et al., 2024).

Por otro lado, Huaman y Gutiérrez (2021) menciona que la intervención de enfermería, centrada en actividades educativas y de asesoramiento, mejora significativamente el autocuidado en pacientes con enfermedad renal crónica avanzada. Después de la intervención, el conocimiento sobre autocuidado aumentó a un 71,7% y el nivel de autocuidado alcanzó el 72%.

Igualmente, Domingo y Charco (2021) menciona que los cuidados de enfermería en pacientes críticos son fundamentales para apoyar el ajuste adecuado de las dosis de antimicrobianos. El personal de enfermería tiene la responsabilidad de realizar una monitorización continua de los niveles plasmáticos, observando cambios en los parámetros vitales y en la función renal, especialmente en aquellos con insuficiencia renal aguda. Además, deben colaborar estrechamente con el equipo médico para ajustar las dosis según los resultados de la monitorización farmacocinética, asegurándose de que las terapias de reemplazo renal no comprometan la eliminación de los fármacos. La vigilancia constante y la administración precisa de los medicamentos son esenciales para evitar complicaciones y garantizar una atención segura y efectiva.

También, Barrozo et al. (2024) indican que las intervenciones de enfermería durante la hemodiálisis y la educación continua del equipo son clave para mejorar la calidad del cuidado y reducir complicaciones. Es esencial que la enfermera comprenda cómo la enfermedad y el tratamiento afectan al paciente, y cómo éste los percibe, para detectar problemas a tiempo e implementar intervenciones que proporcionen un ambiente acogedor que ayude al paciente a enfrentar su situación.

En el contexto de la pandemia de COVID-19, se observaron importantes contribuciones a la gestión de cuidados de enfermería para pacientes en hemodiálisis, incluyendo el uso de tecnologías de la salud como la telemedicina y el desarrollo de nuevos protocolos. Estas herramientas, junto con la educación continua y la implementación de nuevos métodos de gestión, fueron esenciales para asegurar la continuidad de la atención (Carvalho et al., 2023). Los problemas de adaptación y afrontamiento en pacientes en hemodiálisis se manifestaron principalmente en aspectos del autoconcepto, la salud física y el rol funcional, dado que el tratamiento conlleva cambios significativos que afectan la salud física, emocional y social del paciente (Andrade et al., 2020).

Por lo tanto, las intervenciones educativas de enfermería juegan un papel importante. Los cuidados después del tratamiento demostraron tener un impacto positivo en el afrontamiento y adaptación de los pacientes hemodializado. Además, se identificaron cuidados enfocados en la práctica asistencial, como el monitoreo de signos vitales y la prevención de infecciones debido al compromiso inmunológico y otras comorbilidades. Es crucial que el personal de enfermería adopte una actitud crítica frente a la atención brindada a este grupo de pacientes (Aguiar et al., 2023).

También se destacaron cuidados dirigidos al aspecto biopsicosocial, como la aplicación de prácticas integrativas y complementarias, incluyendo musicoterapia y aromaterapia, así como la creación de vínculos con familiares (de Freitas et al., 2023).

Finalmente, Silva et al. (2022) identificaron los cuidados de enfermería necesarios para el manejo de pacientes en hemodiálisis dentro de la Unidad de Cuidados Intensivos. Estos cuidados permiten a los profesionales de enfermería mantener su autonomía, tomar decisiones informadas y ofrecer una atención segura durante el procedimiento. Contribuyendo a la práctica basada en evidencias y mejorar la toma de decisiones en el manejo de hemodiálisis, abarcando los períodos pre, intra y post hemodiálisis. Se destaca la necesidad de más evidencia científica sobre estos procesos y la importancia de invertir en capacitación y educación continua para empoderar a los profesionales de enfermería en la gestión de la hemodiálisis.

 

CONCLUSIONES

La evidencia científica hasta ahora no ha demostrado de manera concluyente que la terapia de reemplazo renal intermitente sea superior a otras modalidades de tratamiento renal. En términos de supervivencia, estancia en la unidad de cuidados intensivos o recuperación renal en pacientes críticos, algunos autores señalan que la terapia de reemplazo renal continua puede ser más favorable en pacientes hemodinámicamente inestables. La elección de la modalidad debe basarse en las condiciones del paciente y los recursos disponibles. La hemodiálisis intermitente sigue siendo una modalidad prevalente, aunque puede presentar limitaciones en pacientes con alteraciones respiratorias y hemodinámicas.

Las complicaciones más prevalentes durante la terapia de reemplazo renal intermitente en pacientes críticos incluyen la hipotensión, seguida de crisis hipertensivas. Con menor frecuencia, se presentan problemas de acceso vascular, coagulación del circuito extracorpóreo, e infecciones al acceso vascular. Las intervenciones de enfermería, basadas en protocolos y un manejo adecuado de la tecnología sanitaria, son esenciales para minimizar estos riesgos y garantizar la seguridad del paciente.

Finalmente, las intervenciones educativas y el monitoreo constante del estado hemodinámico del paciente por parte de personal de enfermería son fundamentales para prevenir complicaciones.  Sin embargo, es importante que, durante la investigación realizada no se encontró evidencia científica suficiente que definan de forma detallada cuales deben ser los cuidados de enfermería antes, durante o después de la terapia de reemplazo renal intermitente en pacientes críticos con enfermedad renal.

Es crucial que los profesionales de enfermería sigan protocolos estandarizados para la vigilancia del paciente antes, durante y después de la terapia de reemplazo renal intermitente, asegurando un manejo adecuado de la tecnología y una pronta identificación de complicaciones. La formación continua en el uso de equipos y técnicas de cuidado es fundamental para reducir riesgos y garantizar un tratamiento efectivo. Sin embargo, es necesario que se realicen más estudios que avalen y sustenten las funciones específicas del personal de enfermería en estas etapas del tratamiento, dado que la investigación realizada no encontró información concluyente en este ámbito. Por ello, se recomienda fortalecer los programas de educación y fomentar investigaciones que permitan desarrollar guías basadas en evidencia.

 

FINANCIAMIENTO

No monetario.

 

AGRADECIMIENTO

A todos los actores sociales involucrados en el desarrollo de la investigación.

 

REFERENCIAS CONSULTADAS

Acebo, M. R., Jiménez, C. L., Guerrero, L. E., y Cabanilla, E. A. (2022). Factores que influyen en la decisión para iniciar el tratamiento de modalidad de diálisis en pacientes del hospital Abel Gilbert Pontón. Mas Vita. Revista de Ciencias de la Salud, 2(3), 76-89. https://doi.org/10.47606/ACVEN/MV0030

 

Adejumo, O. A., Edeki, I. R., Oyedepo, D. S., Yisau, O. E., Ige, O. O., Ekrikpo, I. U., Moussa, A. S., Palencia, H., Noubiap, J. J., y Ekrikpo, U. E. (2024). The prevalence and risk of mortality associated with intradialytic hypertension among patients with end-stage kidney disease on haemodialysis: A systematic review and meta-analysis. PLoS ONE, 19(6), e0304633. https://doi.org/10.1371/journal.pone.0304633

 

Aguiar, N. C., Magalhães, D. S., Montenegro, M. É., Do Nascimento, D. F., Morais, F. M., Quintino, M. M., y Magalhães, R. M. (2023). Cuidados de enfermagem ao paciente com insuficiência renal em tratamiento de hemodiálise. Revista Enfermagem Actual In Derme, 97(4), e023177. https://n9.cl/eut2ad

 

Almeida, B. M., Moreno, D. H., Vasconcelos, V., y Cacione, D. G. (2022). Interventions for treating catheter-related bloodstream infections in people receiving maintenance haemodialysis. Cochrane Database of Systematic Reviews. https://doi.org/10.1002/14651858.CD013554.pub2

 

Andrade, J. V., Beltrán, G. M., Romero, C. Y., Tello, K. P., y Hernández, Z. P. (2020). Educación de enfermería enfocada en el afrontamiento y adaptación del paciente hemodializado. Revista Criterios, 27(2), 129-162. https://doi.org/10.31948/rev.criterios/27.2-art6

 

Barquero, W. (2022). Análisis PRISMA como metodología para revisión sistemática: una aproximación general. Revista Saúde, 8(Supl. 1). https://doi.org/10.18310/2446-4813.2022v8nsup1p339-360   

 

Barrozo, M. A., Lima, E. E., Pinheiro, M. do S., Santana, M. C., Alves, D. F., Silva, V. Y., Damasceno, S. S., Paraguay, C. R., Machado, A., Ribamar, R., Martins, G. T., Santana, G., Lages, P. F., Oliveira, É. A., y Meneses, M. B. (2024). Cuidados de enfermagem para pacientes com insuficiência renal crônica em hemodiálise: uma revisão integrativa. Contribuciones a las ciencias sociales, 17(5), e6889. https://doi.org/10.55905/revconv.17n.5-170

 

Batista, D., Estrada, J. C., y Morell, L. (2024). Enfermedad renal crónica y factores de progresión en pacientes con diabetes mellitus tipo 2. Revista información científica, 103, e4611. https://n9.cl/gxxmhz

 

Benabdelouahab, N., Ziati, K., Oualili, L., Ssouni, O., Dendane, T., Zeggwagh, A. A., y Abidi, K. (2024). Dialysis disequilibrium syndrome: A case report. SAGE Open Medical Case Reports, 12. https://doi.org/10.1177/2050313X241266445

 

Carvalho, C. D., Souza, V., Alves, M. L., Silva, G., y Alves, A. G. (2023). Nursing care management in substitutive renal therapy in patients with COVID-19: integrative review. Enfermería Nefrologica, 26(3), 220-230. https://doi.org/10.37551/S2254-28842023021

 

Cedeño, S., Vega, A., Macías, N., Sánchez, L., Abad, S., López, J. M., y Luño, J. (2020). Definiciones de hipotensión intradiálisis con poder predictivo de mortalidad en una cohorte de hemodiálisis. Nefrología, 40(4), 403-413. https://doi.org/10.1016/j.nefro.2020.01.003

 

Domingo, E., y Charco, L. M. (2021). Impacto de las terapias de depuración extrarrenal en las concentraciones plasmáticas de los antimicrobianos en la Unidad de Cuidados Intensivos. Rev Elect Anestesiar, 13(12), 2. https://n9.cl/wkyt2

 

Dos Santos, R. P., Rodriguez, A., Alves, S. R., Augusto, T. V., Fernades, M. F. y Batista, L. A. (2022). Complicaciones intradialíticas en pacientes con lesión renal aguda. Acta Paul Enferm., 35, eAPE0168345. https://doi.org/10.37689/ACTA-APE/2022AO0168345

 

Freitas, K. M., Silva, P. F., Bezerra, G. D., Souza, G., Braga, S. T., Martins, G. B., Carvalho, N. D., Figueiredo, E. C., Leite, L. R., y Rodriguez, W. (2023). Cuidados de enfermagem relativos à injúria renal no paciente politraumatizado. Revista Eletrônica Acervo Saúde, 23(8), e13014. https://doi.org/10.25248/reas.e13014.2023

 

Fuentes, V. (2024). Terapias de reemplazo renal agudo en pacientes críticos. Revista Médica Clínica Las Condes, 35(1) 14-21. https://n9.cl/6c2b2t  

 

Huaman, L., y Gutiérrez, H. F. (2021). Impact of the nursing intervention on the self-care of patients with advanced chronic kidney disease. Enfermería Nefrologica, 24(1), 68-76. https://doi.org/10.37551/S2254-28842021007

 

Huidobro, J. P., Ceriani, A., Sepúlveda, R., Carrasco, M., & Ortiz, A. M. (2020). Impacto de la modalidad de terapia de reemplazo renal en adultos mayores frágiles. Revista Española de Geriatría y Gerontología, 55(3), 131–136. https://doi.org/10.1016/j.regg.2019.11.005

 

Japiong, M., Landy, C. K., Fox, M. T., Mensah, J., y Adatara, P. (2023). Factors affecting access to dialysis for patients with end-stage kidney disease in Sub-Saharan Africa: A scoping review. Nursing Open, 10(10), 6724-6748. https://doi.org/10.1002/nop2.1970

 

Ma, H., Liu, H., Liu, Y., Wang, Y., He, J., y Yang, Q. (2023). Efficacy of Continuous Renal Replacement Therapy and Intermittent Hemodialysis in Patients with Renal Failure in Intensive Care Unit: A Systemic Review and Meta-analysis. Evidence-Based Complementary and Alternative Medicine, 2023, 688974. https://doi.org/10.1155/2023/8688974

 

Martínez, S. (2020). Cuidados de enfermería en la gestión emocional del paciente en hemodiálisis. Revista de nefrología, diálisis y trasplante40(3), 237-241. https://n9.cl/q92a7

Nunes, N., Soares, R. do S., Martins. M., Schincaglia, R. M., Freitas, N. R., Luciano, C., y Suzuki, K. (2021). Incidents in bedside hemodialysis sessions in intensive care units. Cogitare Enfermagem, 26. https://doi.org/10.5380/CE.V26I0.76010

 

Rosas Valdez, F. U., Aguirre Vázquez, A. F., & Agudelo Botero, M. (2024). Cuantificación de la carga de la enfermedad renal crónica en América Latina: una epidemia invisibilizada. Revista Panamericana de Salud Pública, 48, e41. https://doi.org/10.26633/RPSP.2024.41

 

Ordóñez, J. A., Morillo, M. C., Borja, P. T., Pinchao, J. L., Nole, B. E., Salazar, P. N., y Aldaz, N. D. (2024). El rol de la enfermería en el cuidado integral del paciente con enfermedad renal crónica: enfoque en la prevención, manejo y educación del paciente. Conocimiento Global, 9(1), 49-58. https://doi.org/10.70165/cglobal.v9i1.327

 

Sango, C., Merino, M. del C., Gallardo, A., Pérez, N., Gutiérrez, J., Ruiz, C., De la Torre, M., Suárez, A. M., y Sánchez, E. (2023). Pelvic organ prolapse in women with autosomal dominant polycystic kidney disease under tolvaptan treatment. Nefrología 43(6), 791-792. https://doi.org/10.1016/j.nefro.2021.09.021

 

Saunders, H., Rehan, A., Hashmi, M. F., y Sanghavi, D. K. (2024). Continuous Renal Replacement Therapy. StatPearls Publishing. https://n9.cl/mwqqx

 

Sellares, V. L., y Rodriguez, D. L. (2023). Enfermedad Renal Crónica. Nefrología al día, www.nefrologiaaldia.org/136

 

Silva, A. A. da, Araújo, D. G. P. de, Milhomem, H. T., Godone, R. L. do N., Porto, A. L. F., & Canário, M. C. A. W. (2020). Infecção por Staphylococcus Aureus em pacientes hemodialíticos: uma revisão integrativa. Revista Saúde E Desenvolvimento14(19). https://n9.cl/vrdpw  

 

Silva, M. C., Pedrosa, D., Rocha, C. N., Holanda, G. L., y Coêlho, A. D. (2022). Nursing management for hemodialysis patients in the Intensive Care Unit: integrative review. Research, Society and Development, 11(9), e33611931849. https://doi.org/10.33448/rsd-v11i9.31849

 

Suárez, M. T., Rodas, L., Quíntela, M., y Mejía, A. P. (2023). Patient safety assessment in the clinical practice of renal replacement therapy in intensive care units. Enfermería Nefrológica, 26(1), 49-58. https://n9.cl/yfkswe

 

Ticona, W. (2021). Inestabilidad hemodinámica durante el proceso intradialítica en usuarios con insuficiencia renal crónica. Revista Vive, 4(10), 26-34. https://doi.org/10.33996/revistavive.v4i10.72

 

Valdenebro, M., Rodríguez, L. M., Tarragón, B., Sánchez, P., y Portolés, J. (2021). Una visión nefrológica del tratamiento sustitutivo renal en el paciente crítico con fracaso renal agudo: horizonte 2020. Nefrología, 41(2), 102-114. https://doi.org/10.1016/J.NEFRO.2020.07.016

 

 

 

 

 

 

 

 

©2025 por los autores. Este artículo es de acceso abierto y distribuido según los términos y condiciones de la licencia Creative Commons Atribución-NoComercial-CompartirIgual 4.0 Internacional (CC BY-NC-SA 4.0) (https://creativecommons.org/licenses/by-nc-sa/4.0/).